Популярное

Музыка Кино и Анимация Автомобили Животные Спорт Путешествия Игры Юмор

Интересные видео

2025 Сериалы Трейлеры Новости Как сделать Видеоуроки Diy своими руками

Топ запросов

смотреть а4 schoolboy runaway турецкий сериал смотреть мультфильмы эдисон
dTub
Скачать

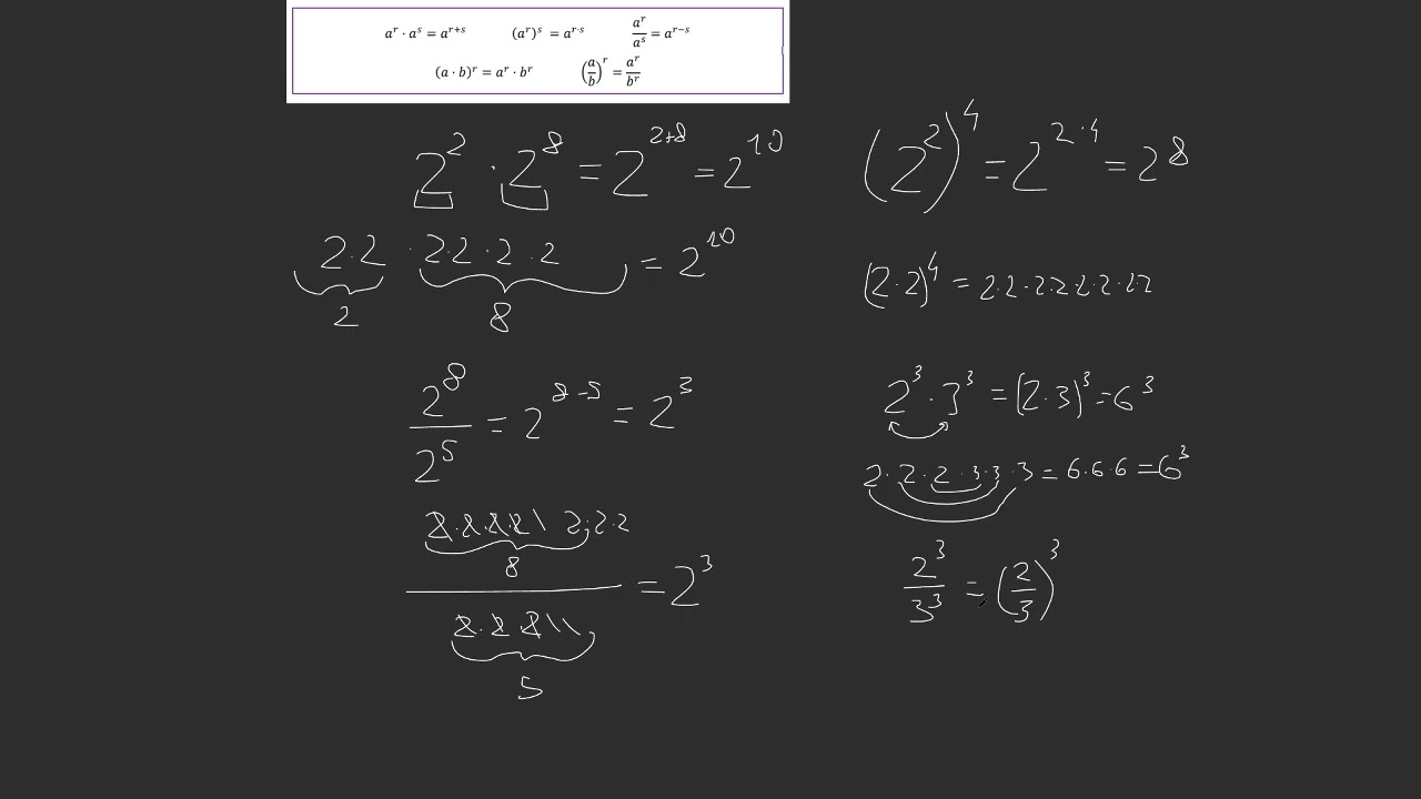
Działania na potęgach - powtórka

Автор: gmatma

Загружено: 2025-10-26

Просмотров: 156

Описание:

W tym video przedstawiam podstawowe prawa na potęgach oraz w jaki sposób można prosto rozwiązać trywialne zadania maturalne z nimi związane. Polecam serdecznie jeśli potęgi to nie twoja bajka, a musisz zaliczyć sprawdzian albo napisać egzamin.

#cke #maths #education #dlaciebie #exam #egzamin #dladzieci #study #edukacjadladzieci

Działania na potęgach - powtórka

Поделиться в:

Доступные форматы для скачивания:

Скачать видео mp4

  • Информация по загрузке:

Скачать аудио mp3

Похожие видео

Potęgi i pierwiastki. Działania na potęgach i pierwiastkach.

Potęgi i pierwiastki. Działania na potęgach i pierwiastkach.

Działania na zbiorach

Działania na zbiorach

Działania na potęgach o wykładniku naturalnym #12 [ Potęgi o wykładniku naturalnym ]

Działania na potęgach o wykładniku naturalnym #12 [ Potęgi o wykładniku naturalnym ]

Potęgi i pierwiastki PEWNIAK Liczby rzeczywiste cz.1 MATURA PODSTAWA

Potęgi i pierwiastki PEWNIAK Liczby rzeczywiste cz.1 MATURA PODSTAWA

Próbny egzamin ósmoklasisty z matematyki - CKE Styczeń 2026 (Zad. 15)

Próbny egzamin ósmoklasisty z matematyki - CKE Styczeń 2026 (Zad. 15)

DZIAŁANIA NA POTĘGACH I PIERWIASTKACH - matwujek E8

DZIAŁANIA NA POTĘGACH I PIERWIASTKACH - matwujek E8

Логарифмы с нуля за 20 МИНУТ! Introduction to logarithms.

Логарифмы с нуля за 20 МИНУТ! Introduction to logarithms.

JEDYNY film, którego potrzebujesz aby ZDAĆ MATURĘ w 2026❗️

JEDYNY film, którego potrzebujesz aby ZDAĆ MATURĘ w 2026❗️

własności potęg powtórzenie SP +GIM

własności potęg powtórzenie SP +GIM

Лижут ли Вас Собаки? ВОТ ЧТО ЭТО ЗНАЧИТ (вас шокирует)!

Лижут ли Вас Собаки? ВОТ ЧТО ЭТО ЗНАЧИТ (вас шокирует)!

Dodawanie liczb całkowitych #1 [ Działania na liczbach całkowitych ]

Dodawanie liczb całkowitych #1 [ Działania na liczbach całkowitych ]

Как понять неравенства? Квадратные неравенства. Линейные и сложные неравенства | TutorOnline

Как понять неравенства? Квадратные неравенства. Линейные и сложные неравенства | TutorOnline

Graniastosłupy - Matematyka PP

Graniastosłupy - Matematyka PP

DZIAŁANIA NA POTĘGACH l KLASA 8

DZIAŁANIA NA POTĘGACH l KLASA 8

POTĘGI I PIERWIASTKI || DZIAŁANIA NA POTĘGACH

POTĘGI I PIERWIASTKI || DZIAŁANIA NA POTĘGACH

Jak działa czarna dziura? / prof. dr hab. Andrzej Dragan

Jak działa czarna dziura? / prof. dr hab. Andrzej Dragan

Вот почему ты НЕ ПОНИМАЕШЬ МАТЕМАТИКУ

Вот почему ты НЕ ПОНИМАЕШЬ МАТЕМАТИКУ

PO ATAKU TRUMPA NIEMCY WYCOFUJĄ SIĘ Z GRENLANDII ! MERCOSUR 2 - CO OZNACZA DLA NAS UMOWA UE-INDIE?

PO ATAKU TRUMPA NIEMCY WYCOFUJĄ SIĘ Z GRENLANDII ! MERCOSUR 2 - CO OZNACZA DLA NAS UMOWA UE-INDIE?

Potęgi - kl. 7  - Matematyka Z Kluczem - najlepsze przygotowanie na sprawdzian! 🙌 🤩

Potęgi - kl. 7 - Matematyka Z Kluczem - najlepsze przygotowanie na sprawdzian! 🙌 🤩

ЯПОНИЯ — ОШИБКА? Почему о переезде сюда жалеют

ЯПОНИЯ — ОШИБКА? Почему о переезде сюда жалеют

© 2025 dtub. Все права защищены.



  • Контакты
  • О нас
  • Политика конфиденциальности



Контакты для правообладателей: infodtube@gmail.com