Популярное

Музыка Кино и Анимация Автомобили Животные Спорт Путешествия Игры Юмор

Интересные видео

2025 Сериалы Трейлеры Новости Как сделать Видеоуроки Diy своими руками

Топ запросов

смотреть а4 schoolboy runaway турецкий сериал смотреть мультфильмы эдисон
dTub
Скачать

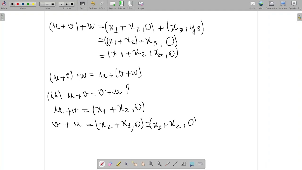
Verificando se um conjunto V com uma "adição" é um espaço vetorial.

Автор: Daniel Nicolau Brandão

Загружено: 2022-03-27

Просмотров: 1505

Описание:

Verificando se um conjunto V com uma "adição" é um espaço vetorial.

Поделиться в:

Доступные форматы для скачивания:

Скачать видео mp4

  • Информация по загрузке:

Скачать аудио mp3

Похожие видео

VERIFICAÇÃO DE QUE UM CONJUNTO A DE VETORES GERA O ESPAÇO R2 #professorluizmaggi

VERIFICAÇÃO DE QUE UM CONJUNTO A DE VETORES GERA O ESPAÇO R2 #professorluizmaggi

ESPAÇO VETORIAL DEFINIÇÃO E EXEMPLOS

ESPAÇO VETORIAL DEFINIÇÃO E EXEMPLOS

Regra de Cramer! ❤️🧮 #Matemática #math

Regra de Cramer! ❤️🧮 #Matemática #math

VERIFICAÇÃO SE UM CONJUNTO S DO R3 É UM SUBESPAÇO VETORIAL#professorluizmaggi

VERIFICAÇÃO SE UM CONJUNTO S DO R3 É UM SUBESPAÇO VETORIAL#professorluizmaggi

Verificando todos os axiomas para Espaços Vetoriais | Álgebra Linear

Verificando todos os axiomas para Espaços Vetoriais | Álgebra Linear

Олимпиадная Задача на Упрощение | Как Избежать Ловушек в Виде Квадратных Корней и Дробных Выражений

Олимпиадная Задача на Упрощение | Как Избежать Ловушек в Виде Квадратных Корней и Дробных Выражений

COMO VERIFICAR SE UM SUBCONJUNTO DADO É UM SUBESPAÇO VETORIAL.

COMO VERIFICAR SE UM SUBCONJUNTO DADO É UM SUBESPAÇO VETORIAL.

ТОП-ошибок на ИТОГОВОМ СОБЕСЕДОВАНИИ – ПРОВЕРЬ СЕБЯ | Умскул

ТОП-ошибок на ИТОГОВОМ СОБЕСЕДОВАНИИ – ПРОВЕРЬ СЕБЯ | Умскул

Каково это — изобретать математику?

Каково это — изобретать математику?

Основы линейной алгебры: #1. Векторы

Основы линейной алгебры: #1. Векторы

Самый короткий тест на интеллект Задача Массачусетского профессора

Самый короткий тест на интеллект Задача Массачусетского профессора

Exercício #2 - Subespaço Vetorial. | 06. Álgebra Linear.

Exercício #2 - Subespaço Vetorial. | 06. Álgebra Linear.

Корень из двух – первая математическая трагедия // Vital Math

Корень из двух – первая математическая трагедия // Vital Math

DETERMINAÇÃO DA FORMA DE UM VETOR COMO COMBINAÇÃO LINEAR DE OUTROS VETORES#professorluizmaggi

DETERMINAÇÃO DA FORMA DE UM VETOR COMO COMBINAÇÃO LINEAR DE OUTROS VETORES#professorluizmaggi

Румынская математическая олимпиада

Румынская математическая олимпиада

Темпы наступления снизились! Обзор карты боевых действий за неделю 10-17 января 2026

Темпы наступления снизились! Обзор карты боевых действий за неделю 10-17 января 2026

✓ Введение в математический анализ. Множество действительных чисел | матан #001 | Борис Трушин

✓ Введение в математический анализ. Множество действительных чисел | матан #001 | Борис Трушин

Álgebra Linear - Aula 1 - Espaços Vetoriais - Equipe Dubita

Álgebra Linear - Aula 1 - Espaços Vetoriais - Equipe Dubita

ÁLGEBRA LINEAR - Aula 17.1 - Espaço e Subespaço Vetorial - Exercício de Subespaço ou Espaço Vetorial

ÁLGEBRA LINEAR - Aula 17.1 - Espaço e Subespaço Vetorial - Exercício de Subespaço ou Espaço Vetorial

Задача из вступительных Стэнфорда

Задача из вступительных Стэнфорда

© 2025 dtub. Все права защищены.



  • Контакты
  • О нас
  • Политика конфиденциальности



Контакты для правообладателей: infodtube@gmail.com