Популярное

Музыка Кино и Анимация Автомобили Животные Спорт Путешествия Игры Юмор

Интересные видео

2025 Сериалы Трейлеры Новости Как сделать Видеоуроки Diy своими руками

Топ запросов

смотреть а4 schoolboy runaway турецкий сериал смотреть мультфильмы эдисон
dTub
Скачать

15 Convolution property of Fourier transform (Example 3)

Автор: Mustafa Kuzuoglu

Загружено: 2025-12-20

Просмотров: 7

Описание:

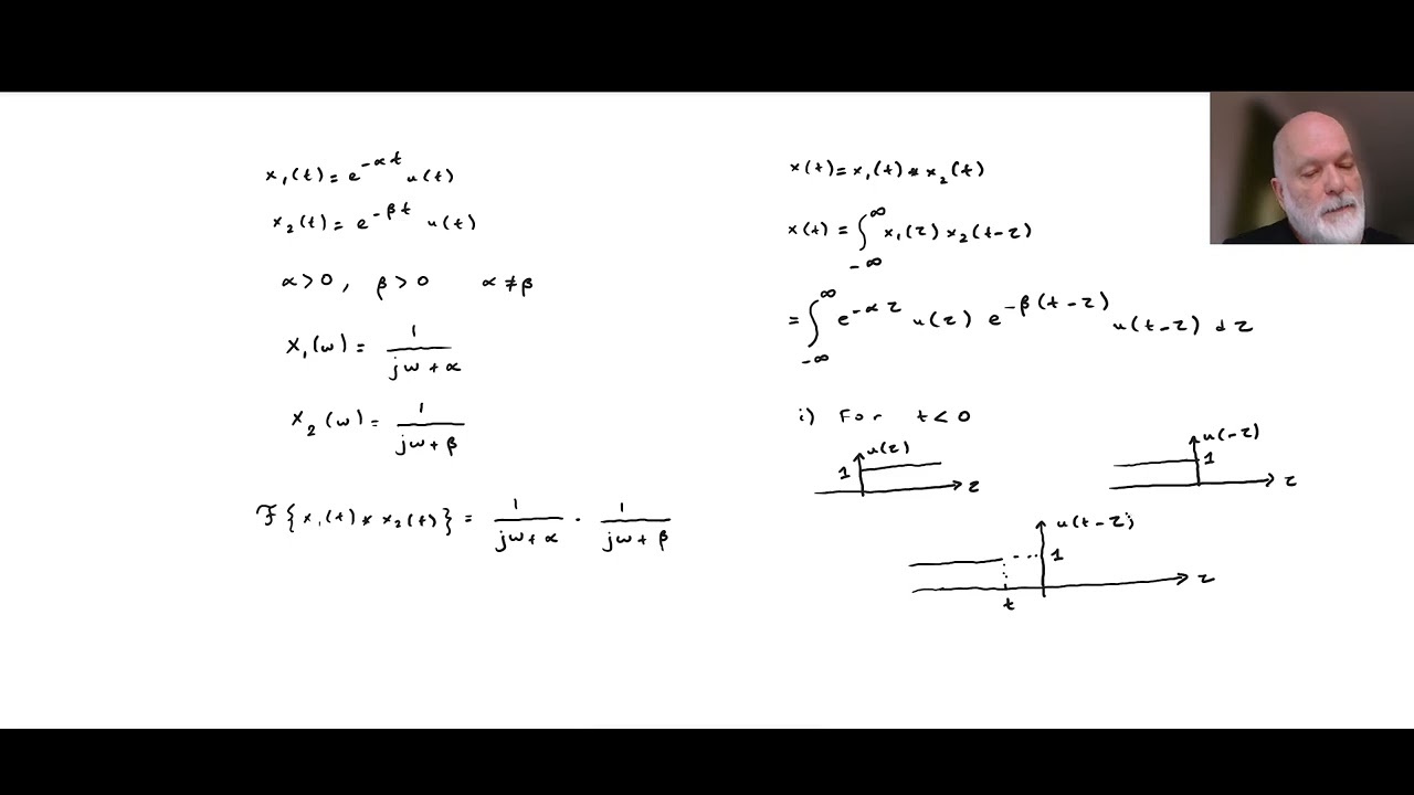
In this video, the Fourier Transform of the convolution of two damped exponential signals is explained.

15 Convolution property of Fourier transform (Example 3)

Поделиться в:

Доступные форматы для скачивания:

Скачать видео mp4

  • Информация по загрузке:

Скачать аудио mp3

Похожие видео

16 Convolution Property of Fourier transform (Ideal Filters)

16 Convolution Property of Fourier transform (Ideal Filters)

Свертка за 5 простых шагов

Свертка за 5 простых шагов

ChatGPT vs Grok vs Gemini Who Can Make Out My Calculus 3 Answer Key

ChatGPT vs Grok vs Gemini Who Can Make Out My Calculus 3 Answer Key

01 Fourier Transform (Definition and Interpretation)

01 Fourier Transform (Definition and Interpretation)

Пример интеграла свертки — графический метод

Пример интеграла свертки — графический метод

Откуда в ядерном реакторе появляется плутоний

Откуда в ядерном реакторе появляется плутоний

Свертка и преобразование Фурье наглядно объяснены

Свертка и преобразование Фурье наглядно объяснены

Быстрое преобразование Фурье (БПФ): самый гениальный алгоритм?

Быстрое преобразование Фурье (БПФ): самый гениальный алгоритм?

Как вычислить ряд Фурье: пример

Как вычислить ряд Фурье: пример

17 FourierTransform of u(t)

17 FourierTransform of u(t)

Преобразование Фурье: лучшее объяснение (для начинающих)

Преобразование Фурье: лучшее объяснение (для начинающих)

Understanding the Discrete Fourier Transform and the FFT

Understanding the Discrete Fourier Transform and the FFT

Введение в преобразование Фурье (часть 1)

Введение в преобразование Фурье (часть 1)

Понимание Z-преобразования

Понимание Z-преобразования

Может ли у ИИ появиться сознание? — Семихатов, Анохин

Может ли у ИИ появиться сознание? — Семихатов, Анохин

Теренс Тао о том, как Григорий Перельман решил гипотезу Пуанкаре | Лекс Фридман

Теренс Тао о том, как Григорий Перельман решил гипотезу Пуанкаре | Лекс Фридман

Уоррен Баффет: Если вы хотите разбогатеть, перестаньте покупать эти 5 вещей.

Уоррен Баффет: Если вы хотите разбогатеть, перестаньте покупать эти 5 вещей.

Почему Питер Шольце — математик, каких бывает раз в поколение?

Почему Питер Шольце — математик, каких бывает раз в поколение?

Для Чего РЕАЛЬНО Нужен был ГОРБ Boeing 747?

Для Чего РЕАЛЬНО Нужен был ГОРБ Boeing 747?

А что если найти среднюю длину эллипса?

А что если найти среднюю длину эллипса?

© 2025 dtub. Все права защищены.



  • Контакты
  • О нас
  • Политика конфиденциальности



Контакты для правообладателей: infodtube@gmail.com