Популярное

Музыка Кино и Анимация Автомобили Животные Спорт Путешествия Игры Юмор

Интересные видео

2025 Сериалы Трейлеры Новости Как сделать Видеоуроки Diy своими руками

Топ запросов

смотреть а4 schoolboy runaway турецкий сериал смотреть мультфильмы эдисон
dTub
Скачать

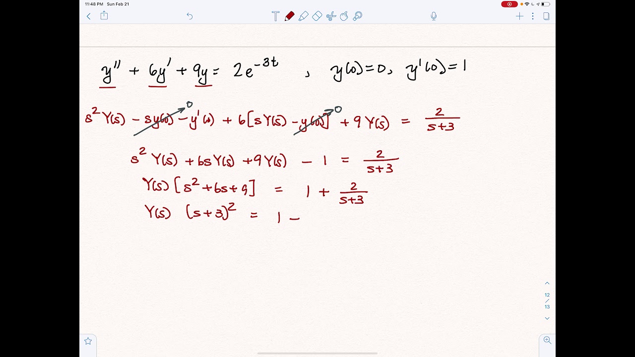
Laplace Transforms - Solving a Non-homogeneous DE (2)

Автор: Jason Malozzi

Загружено: 2021-02-22

Просмотров: 2715

Описание:

Compare to Undetermined Coefficients which may have been more complicated due to guessing, then substituting the guess into the DE... which would mean many product rules!

Laplace Transforms - Solving a Non-homogeneous DE (2)

Поделиться в:

Доступные форматы для скачивания:

Скачать видео mp4

  • Информация по загрузке:

Скачать аудио mp3

Похожие видео

Finding an Inverse Transform by Convolution Theorem

Finding an Inverse Transform by Convolution Theorem

Как решить линейное неоднородное дифференциальное уравнение второго порядка с использованием прео...

Как решить линейное неоднородное дифференциальное уравнение второго порядка с использованием прео...

Differential Equation Using Laplace Transform + Heaviside Functions

Differential Equation Using Laplace Transform + Heaviside Functions

Using the Laplace transform to solve a nonhomogeneous eq | Laplace transform | Khan Academy

Using the Laplace transform to solve a nonhomogeneous eq | Laplace transform | Khan Academy

Variation of Parameters || How to solve non-homogeneous ODEs

Variation of Parameters || How to solve non-homogeneous ODEs

inverse laplace of s/(s^2+1)^2, using convolution theorem

inverse laplace of s/(s^2+1)^2, using convolution theorem

Using Laplace Transform to solve Second Order Homogeneous Differential Equation.

Using Laplace Transform to solve Second Order Homogeneous Differential Equation.

Electrical Engineering: Ch 16: Laplace Transform (43 of 58) Solving a Non-Homogeneous Diff. Eqn. 2

Electrical Engineering: Ch 16: Laplace Transform (43 of 58) Solving a Non-Homogeneous Diff. Eqn. 2

Inverse Laplace Transform Example using Partial Fractions

Inverse Laplace Transform Example using Partial Fractions

Использование преобразований Лапласа для решения дифференциальных уравнений

Использование преобразований Лапласа для решения дифференциальных уравнений

Solving Second Order Differential Equations Using Laplace Transform

Solving Second Order Differential Equations Using Laplace Transform

Laplace transform of e^(at)

Laplace transform of e^(at)

Почему эллипс это сложно и не существует формулы периметра эллипса

Почему эллипс это сложно и не существует формулы периметра эллипса

Inverse Laplace examples | Laplace transform | Differential Equations | Khan Academy

Inverse Laplace examples | Laplace transform | Differential Equations | Khan Academy

Inverse Laplace Transform (KristaKingMath)

Inverse Laplace Transform (KristaKingMath)

Inverse Laplace Transform by Partial Fraction Decomposition

Inverse Laplace Transform by Partial Fraction Decomposition

5 операций, которые я, как врач, НИКОГДА бы не сделал! / Вы ПОЖАЛЕЕТЕ об ЭТИХ операциях!

5 операций, которые я, как врач, НИКОГДА бы не сделал! / Вы ПОЖАЛЕЕТЕ об ЭТИХ операциях!

Матан за час. Шпаргалка для первокурсника. Высшая математика

Матан за час. Шпаргалка для первокурсника. Высшая математика

Tips for Inverse Laplace Transforms (Differential Equations)

Tips for Inverse Laplace Transforms (Differential Equations)

Задача из вступительных Стэнфорда

Задача из вступительных Стэнфорда

© 2025 dtub. Все права защищены.



  • Контакты
  • О нас
  • Политика конфиденциальности



Контакты для правообладателей: infodtube@gmail.com