Популярное

Музыка Кино и Анимация Автомобили Животные Спорт Путешествия Игры Юмор

Интересные видео

2025 Сериалы Трейлеры Новости Как сделать Видеоуроки Diy своими руками

Топ запросов

смотреть а4 schoolboy runaway турецкий сериал смотреть мультфильмы эдисон
dTub
Скачать

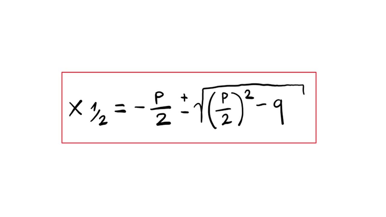
Warum die pq-Formel funktioniert

Автор: Voltarium

Загружено: 2026-01-15

Просмотров: 2

Описание:

Viele setzen die pq-Formel einfach ein, aber warum kommt da plötzlich p/2 vor? Warum steht da eine Wurzel? Und wieso liefert das Ganze zuverlässig die Lösungen einer quadratischen Gleichung?

In diesem Video zeige ich dir Schritt für Schritt, woher die pq-Formel wirklich kommt. Ohne mysteriöse Merksätze, sondern mit sauberer Logik: quadratische Ergänzung und ein paar klare Umformungen. Danach verstehst du nicht nur die Formel, sondern auch, was sie mathematisch macht.

Warum die pq-Formel funktioniert

Поделиться в:

Доступные форматы для скачивания:

Скачать видео mp4

  • Информация по загрузке:

Скачать аудио mp3

Похожие видео

Integralrechnung Basics: Bedingungen fürs Riemann-Integral + Integrale wichtiger Funktionen

Integralrechnung Basics: Bedingungen fürs Riemann-Integral + Integrale wichtiger Funktionen

Эта Хитрая Задача С Мехмата Завалила Сотни! Решишь?

Эта Хитрая Задача С Мехмата Завалила Сотни! Решишь?

Mathe 2 Klausuraufgaben Aufgabe 4

Mathe 2 Klausuraufgaben Aufgabe 4

Die Herleitung des Riemann-Integrals – von Rechtecken zur Stammfunktion

Die Herleitung des Riemann-Integrals – von Rechtecken zur Stammfunktion

Чем ОПАСЕН МАХ? Разбор приложения специалистом по кибер безопасности

Чем ОПАСЕН МАХ? Разбор приложения специалистом по кибер безопасности

International Maths Olympiad Questions Solutions | X^5 -1 | Hardest maths olympiad question |

International Maths Olympiad Questions Solutions | X^5 -1 | Hardest maths olympiad question |

Олимпиадная Задача на Упрощение | Как Избежать Ловушек в Виде Квадратных Корней и Дробных Выражений

Олимпиадная Задача на Упрощение | Как Избежать Ловушек в Виде Квадратных Корней и Дробных Выражений

Почему Трамп в последний момент отменил удар по Ирану

Почему Трамп в последний момент отменил удар по Ирану

Задание из Корейской олимпиады по Математике. Решаем Норвежским способом.

Задание из Корейской олимпиады по Математике. Решаем Норвежским способом.

Harvard University Entrance question l Math Olympiad problems l olympiad mathematics

Harvard University Entrance question l Math Olympiad problems l olympiad mathematics

Крутой прием решения геометрических задач

Крутой прием решения геометрических задач

Собаки Делают ЭТО, если Живут ПОЛНОЙ ЖИЗНЬЮ! (проверь свою)

Собаки Делают ЭТО, если Живут ПОЛНОЙ ЖИЗНЬЮ! (проверь свою)

ЛИМАН ОКРУЖЕН. КАТАСТРОФА ДЛЯ ВСУ 💥Военные Сводки 15.01.2026

ЛИМАН ОКРУЖЕН. КАТАСТРОФА ДЛЯ ВСУ 💥Военные Сводки 15.01.2026

Разбираем пошагово:

Разбираем пошагово: "Суп едят, съели, будут есть, суп съеден" - как это говорить по-немецки

Зачем нужны синусы и косинусы?

Зачем нужны синусы и косинусы?

Почему простые числа образуют эти спирали? | Теорема Дирихле и пи-аппроксимации

Почему простые числа образуют эти спирали? | Теорема Дирихле и пи-аппроксимации

ЧТО ПИТЬ, Чтобы Быстро Улучшить Кровообращение В Ногах? После 60! Доктор Мясников

ЧТО ПИТЬ, Чтобы Быстро Улучшить Кровообращение В Ногах? После 60! Доктор Мясников

Задача про надёжный пароль | В интернете опять кто-то неправ #035 | Борис Трушин и Математик Андрей

Задача про надёжный пароль | В интернете опять кто-то неправ #035 | Борис Трушин и Математик Андрей

ПОЛНЫЙ ЗАВАЛ НА КОНТРОЛЬНОЙ В 9 КЛ! Какой у тебя вариант?

ПОЛНЫЙ ЗАВАЛ НА КОНТРОЛЬНОЙ В 9 КЛ! Какой у тебя вариант?

Почему Собаки Вдруг ЗАЛЕЗАЮТ На Вас? (Причина шокирует)

Почему Собаки Вдруг ЗАЛЕЗАЮТ На Вас? (Причина шокирует)

© 2025 dtub. Все права защищены.



  • Контакты
  • О нас
  • Политика конфиденциальности



Контакты для правообладателей: infodtube@gmail.com