Популярное

Музыка Кино и Анимация Автомобили Животные Спорт Путешествия Игры Юмор

Интересные видео

2025 Сериалы Трейлеры Новости Как сделать Видеоуроки Diy своими руками

Топ запросов

смотреть а4 schoolboy runaway турецкий сериал смотреть мультфильмы эдисон
dTub
Скачать

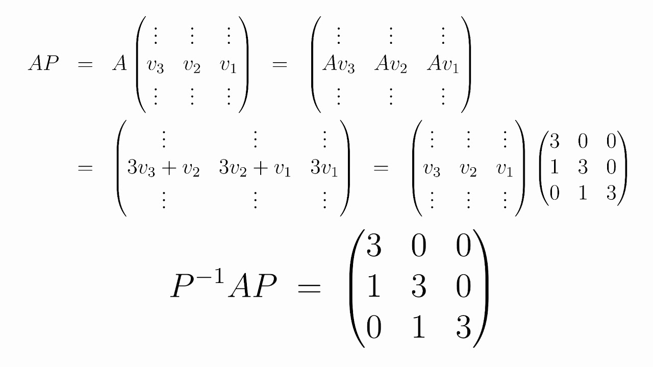
Jordan-Normalformen

Автор: Fachbereich Mathematik und Informatik Uni Marburg

Загружено: 2017-12-19

Просмотров: 9635

Описание:

In diesem Lehrvideo zeigen wir, was eine Jordan-Normalform ist, wie man sie berechnet, und geben auch eine knappe Begründung für das Zustandekommen des Rechenverfahrens an. Wir setzen dabei voraus, dass Sie sich bereits mit Kernen, Eigenwerten, Eigenvektoren und Diagonalisierung von Matrizen auseinandergesetzt haben.

Das Video gliedert sich in sechs Teile unterschiedlicher Länge:
1. Diagonalisierung (eine Wiederholung)
2. Hinleitung zur Jordan-Normalform
3. Was ist eine JNF?
4. Das Berechnungsverfahren für komplexe Matrizen
5. Beispiel
6. Das Berechnungsverfahren für reelle Matrizen

Jordan-Normalformen

Поделиться в:

Доступные форматы для скачивания:

Скачать видео mp4

  • Информация по загрузке:

Скачать аудио mp3

Похожие видео

Klausur LA 2 (Jordan-Normalform, Minimalpolynom, orthogonale Matrix, Orthonormalbasis, Gram-Schmidt)

Klausur LA 2 (Jordan-Normalform, Minimalpolynom, orthogonale Matrix, Orthonormalbasis, Gram-Schmidt)

28. Similar Matrices and Jordan Form

28. Similar Matrices and Jordan Form

Lineare Algebra 2 - Hörsaalübung 6 - PLR-Zerlegung, QR-Zerlegung, Schurzerlegung, Jordannormalform

Lineare Algebra 2 - Hörsaalübung 6 - PLR-Zerlegung, QR-Zerlegung, Schurzerlegung, Jordannormalform

Abstract Linear Algebra 35 | Definition of Jordan Normal Form

Abstract Linear Algebra 35 | Definition of Jordan Normal Form

3.  Die Jordan'sche Normalform

3. Die Jordan'sche Normalform

Расширенная линейная алгебра 24: Нахождение блоков разложения Жордана

Расширенная линейная алгебра 24: Нахождение блоков разложения Жордана

⚡️ ВСУ внезапно обратились к Путину || Разведка РФ прорвалась в тыл

⚡️ ВСУ внезапно обратились к Путину || Разведка РФ прорвалась в тыл

Срочное распоряжение покинуть территорию / Вывод войск

Срочное распоряжение покинуть территорию / Вывод войск

ИНТУИЦИЯ vs. ЛОГИКА : Что важнее в математике? | LAPLAS

ИНТУИЦИЯ vs. ЛОГИКА : Что важнее в математике? | LAPLAS

Жорданова форма матрицы 3 на 3: Пример 1

Жорданова форма матрицы 3 на 3: Пример 1

Aufgabe 7.4.7, Jordan-Normalform, Lineare-Algebra-Buch (Kemper, Reimers)

Aufgabe 7.4.7, Jordan-Normalform, Lineare-Algebra-Buch (Kemper, Reimers)

Jordan Canonical Form

Jordan Canonical Form

Hörsaalübung 7 - Lineare Algebra - Jordan-Normalform, Singulärwertzerlegung und Ausgleichsrechnung

Hörsaalübung 7 - Lineare Algebra - Jordan-Normalform, Singulärwertzerlegung und Ausgleichsrechnung

КОЗЫРЕВ - астрофизик ДОКАЗАЛ, что ВРЕМЯ это ЭНЕРГИЯ: дважды СИДЕЛ, приговорён к РАССТРЕЛУ

КОЗЫРЕВ - астрофизик ДОКАЗАЛ, что ВРЕМЯ это ЭНЕРГИЯ: дважды СИДЕЛ, приговорён к РАССТРЕЛУ

Вся теория музыки за 90 минут #piano #теориямузыки #фортепиано

Вся теория музыки за 90 минут #piano #теориямузыки #фортепиано

Jordan Form

Jordan Form

The Matrix Exponential

The Matrix Exponential

Klausurvorbereitung: Übungsaufgabe Diagonalisierbarkeit mit Angabe aller Matrizen

Klausurvorbereitung: Übungsaufgabe Diagonalisierbarkeit mit Angabe aller Matrizen

LAII 009 Example of a Jordan normal form

LAII 009 Example of a Jordan normal form

Basiswechsel - Transformationsmatrizen - Koordinatenwechsel

Basiswechsel - Transformationsmatrizen - Koordinatenwechsel

© 2025 dtub. Все права защищены.



  • Контакты
  • О нас
  • Политика конфиденциальности



Контакты для правообладателей: infodtube@gmail.com