Популярное

Музыка Кино и Анимация Автомобили Животные Спорт Путешествия Игры Юмор

Интересные видео

2025 Сериалы Трейлеры Новости Как сделать Видеоуроки Diy своими руками

Топ запросов

смотреть а4 schoolboy runaway турецкий сериал смотреть мультфильмы эдисон
dTub
Скачать

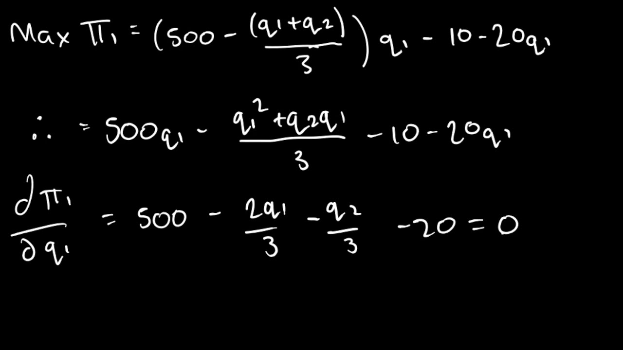
Cournot Model Exercise

Автор: SebastianWaiEcon

Загружено: 2019-07-10

Просмотров: 33665

Описание:

A fully solved example showing how to find the Nash equilibrium in the Cournot model of oligopoly with two firms. I also discuss what might happen if the firms merge.

Cournot Model Exercise

Поделиться в:

Доступные форматы для скачивания:

Скачать видео mp4

  • Информация по загрузке:

Скачать аудио mp3

Похожие видео

4. Finding Pure Strategy Nash Equilibrium in Cournot Duopoly Game (Game Theory Playlist 3)

4. Finding Pure Strategy Nash Equilibrium in Cournot Duopoly Game (Game Theory Playlist 3)

13. Oligopoly

13. Oligopoly

Cournot Oligopoly Model and Equilibrium

Cournot Oligopoly Model and Equilibrium

Как решить задачу олигополии Курно

Как решить задачу олигополии Курно

Cournot Nash Equilibrium

Cournot Nash Equilibrium

Parametric Equations in less than 21 minutes • A-Level Maths, Pure Year 2, Chapter 8 📚

Parametric Equations in less than 21 minutes • A-Level Maths, Pure Year 2, Chapter 8 📚

Биномиальные распределения | Вероятности вероятностей, часть 1

Биномиальные распределения | Вероятности вероятностей, часть 1

Проблема олигополии Курно

Проблема олигополии Курно

Логарифмы с нуля за 20 МИНУТ! Introduction to logarithms.

Логарифмы с нуля за 20 МИНУТ! Introduction to logarithms.

Задача из вступительных Стэнфорда

Задача из вступительных Стэнфорда

Managerial Economics 9.1: Introduction to Oligopoly and the Cournot Model

Managerial Economics 9.1: Introduction to Oligopoly and the Cournot Model

Управленческая экономика 10.3: Бесконечно повторяющаяся модель Курно

Управленческая экономика 10.3: Бесконечно повторяющаяся модель Курно

Cournot Duopoly Numerical Example

Cournot Duopoly Numerical Example

Пример олигополии Курно с использованием исчисления

Пример олигополии Курно с использованием исчисления

Cournot Duopoly

Cournot Duopoly

Выходная головоломка Пошевели извилинами

Выходная головоломка Пошевели извилинами

Oligopoly Overview: Cournot, Bertrand, Stackelberg Oligopoly, Price Leadership

Oligopoly Overview: Cournot, Bertrand, Stackelberg Oligopoly, Price Leadership

Лекция 1. Матрицы и действия с матрицами

Лекция 1. Матрицы и действия с матрицами

#37 Monopoly Market | by Hardev Thakur

#37 Monopoly Market | by Hardev Thakur

Линейные функции

Линейные функции

© 2025 dtub. Все права защищены.



  • Контакты
  • О нас
  • Политика конфиденциальности



Контакты для правообладателей: infodtube@gmail.com