Популярное

Музыка Кино и Анимация Автомобили Животные Спорт Путешествия Игры Юмор

Интересные видео

2025 Сериалы Трейлеры Новости Как сделать Видеоуроки Diy своими руками

Топ запросов

смотреть а4 schoolboy runaway турецкий сериал смотреть мультфильмы эдисон
dTub
Скачать

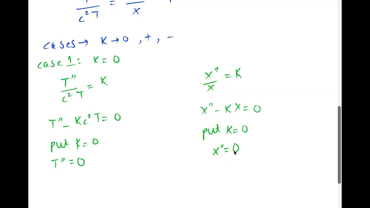
Wave Equation - Part I Solution | PDE

Автор: Maths Question Practice

Загружено: 2026-01-12

Просмотров: 2

Описание:

Wave Equation - Part I Solution | PDE

Wave Equation - Part I Solution | PDE

Поделиться в:

Доступные форматы для скачивания:

Скачать видео mp4

  • Информация по загрузке:

Скачать аудио mp3

Похожие видео

Wave Equation -Part II Solution | PDE

Wave Equation -Part II Solution | PDE

Интеграл: Азы интегрирования. Высшая математика

Интеграл: Азы интегрирования. Высшая математика

Find the root of this equation x^3+x-1 using Bisection method

Find the root of this equation x^3+x-1 using Bisection method

Математический анализ (a.k.a. матан) | Борис Трушин

Математический анализ (a.k.a. матан) | Борис Трушин

Непрерывность vs Равномерная непрерывность

Непрерывность vs Равномерная непрерывность

А что если найти среднюю длину эллипса?

А что если найти среднюю длину эллипса?

Wave Equation -Part III Solution | PDE

Wave Equation -Part III Solution | PDE

Top 10

Top 10

A fascinating non linear differential equation

A fascinating non linear differential equation

Откуда возникает тригонометрия

Откуда возникает тригонометрия

LOGARITHMS Top 10 Must Knows (ultimate study guide)

LOGARITHMS Top 10 Must Knows (ultimate study guide)

Где начало СХЕМЫ? Понимаем, читаем, изучаем схемы. Понятное объяснение!

Где начало СХЕМЫ? Понимаем, читаем, изучаем схемы. Понятное объяснение!

С чего начать высшую математику?

С чего начать высшую математику?

Find the root of this equation cos x=x using bisection method

Find the root of this equation cos x=x using bisection method

Но почему площадь поверхности сферы в четыре раза больше ее тени?

Но почему площадь поверхности сферы в четыре раза больше ее тени?

Визуализация гравитации

Визуализация гравитации

Параметр с МОДУЛЕМ для ЕГЭ 2026 за 15 минут!

Параметр с МОДУЛЕМ для ЕГЭ 2026 за 15 минут!

Если у тебя спросили «Как твои дела?» — НЕ ГОВОРИ! Ты теряешь свою силу | Еврейская мудрость

Если у тебя спросили «Как твои дела?» — НЕ ГОВОРИ! Ты теряешь свою силу | Еврейская мудрость

No-Break Study Timer 🌸 | 1 Hour of Pink Aesthetic Productivity

No-Break Study Timer 🌸 | 1 Hour of Pink Aesthetic Productivity

Реальная Причина, почему Случайные Собаки Подходят к Вам на Улице!

Реальная Причина, почему Случайные Собаки Подходят к Вам на Улице!

© 2025 dtub. Все права защищены.



  • Контакты
  • О нас
  • Политика конфиденциальности



Контакты для правообладателей: infodtube@gmail.com