Популярное

Музыка Кино и Анимация Автомобили Животные Спорт Путешествия Игры Юмор

Интересные видео

2025 Сериалы Трейлеры Новости Как сделать Видеоуроки Diy своими руками

Топ запросов

смотреть а4 schoolboy runaway турецкий сериал смотреть мультфильмы эдисон
dTub
Скачать

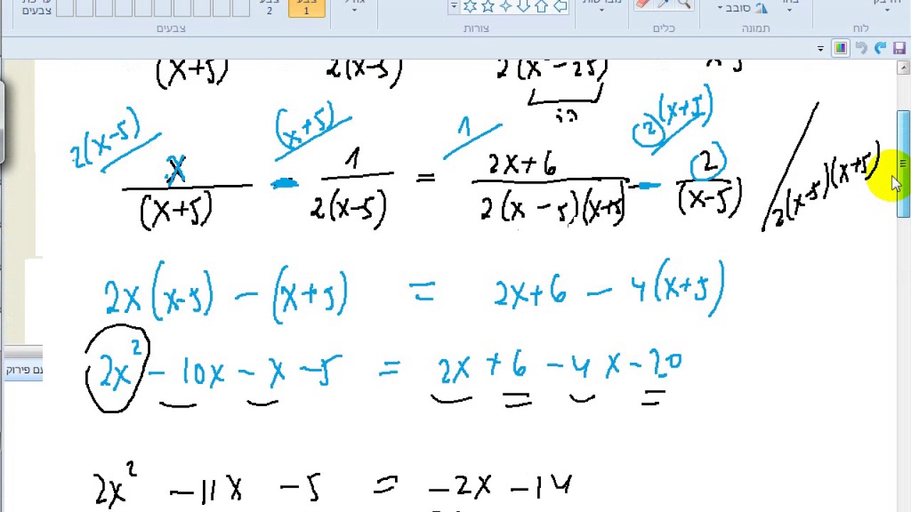
משוואה ריבועית עם שברים כולל הוצאת גורם משותף ומכנה משותף

Автор: מרדכי ישראל

Загружено: 2020-06-15

Просмотров: 28579

Описание:

משוואה ריבועית עם שברים כולל הוצאת גורם משותף ומכנה משותף

Поделиться в:

Доступные форматы для скачивания:

Скачать видео mp4

  • Информация по загрузке:

Скачать аудио mp3

Похожие видео

פתרון משוואה ריבועית על ידי פירוק לגורמים ומכנה משותף  כיתה ט .

פתרון משוואה ריבועית על ידי פירוק לגורמים ומכנה משותף כיתה ט .

משוואה עם שברים: נעלם במונה - ביטוי אלגברי במונה

משוואה עם שברים: נעלם במונה - ביטוי אלגברי במונה

פתרון משוואה עם נעלם במכנה-כיתה ט-כולל הוצאת גורם משותף וטרינום-דוגמה 1

פתרון משוואה עם נעלם במכנה-כיתה ט-כולל הוצאת גורם משותף וטרינום-דוגמה 1

כפל שברים אלגבריים-כיתה ט.נצמצם שברים אלגבריים ע

כפל שברים אלגבריים-כיתה ט.נצמצם שברים אלגבריים ע"י פירוק לגורמים.

כיתה ט' | בואו ללמוד איך לפתור כל משוואה ריבועית

כיתה ט' | בואו ללמוד איך לפתור כל משוואה ריבועית

מציאת מכנה משותף: שברים עם ביטוי אלגברי / נעלם / משתנה במכנה

מציאת מכנה משותף: שברים עם ביטוי אלגברי / נעלם / משתנה במכנה

20 באוקטובר 2025

20 באוקטובר 2025

כ - משוואה ריבועית ונוסחת השורשים

כ - משוואה ריבועית ונוסחת השורשים

צמצום שברים אלגבריים כיתה ט-בצורה מפורטת-שיעור 2 ( כולל המסלול לחרדים)

צמצום שברים אלגבריים כיתה ט-בצורה מפורטת-שיעור 2 ( כולל המסלול לחרדים)

כיתה ט - שיעור 11 - משוואות עם שברים אלגבריים.wmv

כיתה ט - שיעור 11 - משוואות עם שברים אלגבריים.wmv

פירוק הטרינום בקלות // אין גבול | חטיבת הביניים |

פירוק הטרינום בקלות // אין גבול | חטיבת הביניים |

🔴 СРОЧНО СХВАТКА В ДАВОСЕ: ТРАМП ПРОТИВ ЕВРОПЫ! #новости #одиндень

🔴 СРОЧНО СХВАТКА В ДАВОСЕ: ТРАМП ПРОТИВ ЕВРОПЫ! #новости #одиндень

כפל וחילוק שברים אלגבריים,כולל תחום הצבה,שימוש בפירוק לגורמים,כיתה ט-שיעור 1

כפל וחילוק שברים אלגבריים,כולל תחום הצבה,שימוש בפירוק לגורמים,כיתה ט-שיעור 1

פתרון משוואה ריבועית #כיתהט  #משוואות #מתמטיקה

פתרון משוואה ריבועית #כיתהט #משוואות #מתמטיקה

1.    משוואות עם שברים ממעלה שנייה (כיתה ט)

1. משוואות עם שברים ממעלה שנייה (כיתה ט)

משוואה ריבועית מכנה משותף פירוק לגורמים ט

משוואה ריבועית מכנה משותף פירוק לגורמים ט

מתמטיקה - משוואות עם שברים חלק 9

מתמטיקה - משוואות עם שברים חלק 9

פתרון משוואה עם נעלם במכנה-כיתה ט-כולל הוצאת גורם משותף וטרינום-דוגמה 3

פתרון משוואה עם נעלם במכנה-כיתה ט-כולל הוצאת גורם משותף וטרינום-דוגמה 3

Задача для математической олимпиады Германии | Очень интересная геометрическая задача

Задача для математической олимпиады Германии | Очень интересная геометрическая задача

Самый короткий тест на интеллект Задача Массачусетского профессора

Самый короткий тест на интеллект Задача Массачусетского профессора

© 2025 dtub. Все права защищены.



  • Контакты
  • О нас
  • Политика конфиденциальности



Контакты для правообладателей: infodtube@gmail.com