Популярное

Музыка Кино и Анимация Автомобили Животные Спорт Путешествия Игры Юмор

Интересные видео

2025 Сериалы Трейлеры Новости Как сделать Видеоуроки Diy своими руками

Топ запросов

смотреть а4 schoolboy runaway турецкий сериал смотреть мультфильмы эдисон
dTub
Скачать

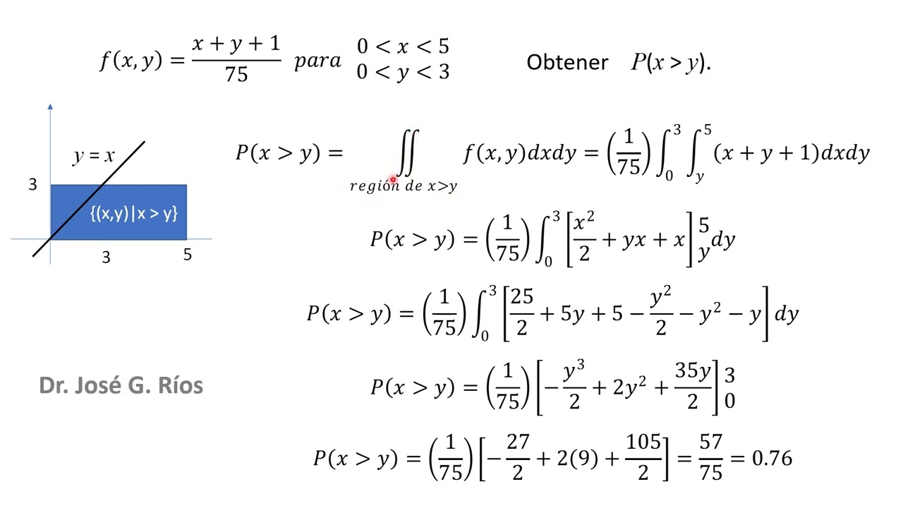
Distribución Bivariada Continua

Автор: Aprendiendo Estadística

Загружено: 2023-07-15

Просмотров: 1300

Описание:

Se explica el concepto de una distribución de probabilidad bivariada continua (x, y).

Distribución Bivariada Continua

Поделиться в:

Доступные форматы для скачивания:

Скачать видео mp4

  • Информация по загрузке:

Скачать аудио mp3

Похожие видео

Distribución Marginal Continua

Distribución Marginal Continua

Distribuciones Bivariadas Discretas

Distribuciones Bivariadas Discretas

Distribución Condicional Continua

Distribución Condicional Continua

La Distribución Marginal

La Distribución Marginal

Teoría de Probabilidad

Teoría de Probabilidad

Variable Aleatoria Continua - De función densidad a función de distribución - Ejercicio 001

Variable Aleatoria Continua - De función densidad a función de distribución - Ejercicio 001

Calcular PROBABILIDAD de una Distribución Normal 🔔 Inferencia Estadística

Calcular PROBABILIDAD de una Distribución Normal 🔔 Inferencia Estadística

Distribución Condicional

Distribución Condicional

0626 Función de densidad marginal

0626 Función de densidad marginal

Esperanza y varianza variable aleatoria continua

Esperanza y varianza variable aleatoria continua

Трамп опять презирает Зеленского?

Трамп опять презирает Зеленского?

DdP -29. Probabilidad Condicional. Distribución conjunta. Variable Discreta. Emergencias técnicas

DdP -29. Probabilidad Condicional. Distribución conjunta. Variable Discreta. Emergencias técnicas

Откуда возникает тригонометрия

Откуда возникает тригонометрия

Why π is in the normal distribution (beyond integral tricks)

Why π is in the normal distribution (beyond integral tricks)

Distribuciones Bivariadas

Distribuciones Bivariadas

Ejemplo distribución uniforme continua

Ejemplo distribución uniforme continua

Variable Aleatoria Bidimensional Discreta

Variable Aleatoria Bidimensional Discreta

Путин перестал говорить о войне | Что случилось (English subtitles)

Путин перестал говорить о войне | Что случилось (English subtitles)

PROBABILIDAD: Distribucion conjunta para variables discretas

PROBABILIDAD: Distribucion conjunta para variables discretas

Distribución Conjunta Continua

Distribución Conjunta Continua

© 2025 dtub. Все права защищены.



  • Контакты
  • О нас
  • Политика конфиденциальности



Контакты для правообладателей: infodtube@gmail.com