Популярное

Музыка Кино и Анимация Автомобили Животные Спорт Путешествия Игры Юмор

Интересные видео

2025 Сериалы Трейлеры Новости Как сделать Видеоуроки Diy своими руками

Топ запросов

смотреть а4 schoolboy runaway турецкий сериал смотреть мультфильмы эдисон
dTub
Скачать

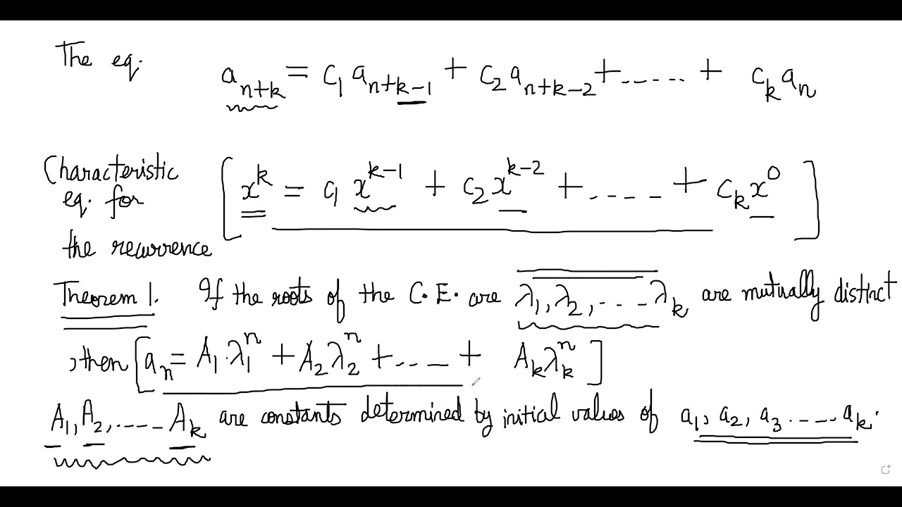
18.1 Recursive Sequences || INMO, RMO, PRMO.

Автор: Shishya Learning

Загружено: 2023-11-27

Просмотров: 197

Описание:

Check out my Olympiad courses on Udemy here - (you can buy the course at a discounted price using the coupon)

1. Algebra for Math Contests - https://www.udemy.com/course/algebra-...

2. Number Theory for Olympiads - https://www.udemy.com/course/number-t...

3. Math Olympiad Masterclass -. https://www.udemy.com/course/maths-ol...

4. Combinatorics for Math Contests - https://www.udemy.com/course/combinat...

18.1 Recursive Sequences || INMO, RMO, PRMO.

Поделиться в:

Доступные форматы для скачивания:

Скачать видео mp4

  • Информация по загрузке:

Скачать аудио mp3

Похожие видео

24.2 Advanced Problems on Number Theory.  || INMO, RMO, PRMO.

24.2 Advanced Problems on Number Theory. || INMO, RMO, PRMO.

Задача про надёжный пароль | В интернете опять кто-то неправ #035 | Борис Трушин и Математик Андрей

Задача про надёжный пароль | В интернете опять кто-то неправ #035 | Борис Трушин и Математик Андрей

Магия транзисторов: как мы научили компьютеры думать с помощью кусочков кремния?

Магия транзисторов: как мы научили компьютеры думать с помощью кусочков кремния?

Что наука знает об Иисусе, если он существовал?

Что наука знает об Иисусе, если он существовал?

Комплексные числа. Как мнимое стало реальным // Vital Math

Комплексные числа. Как мнимое стало реальным // Vital Math

Daniil Medvedev vs Brandon Nakashima For The Title! 🏆 | Brisbane 2026 Final Highlights

Daniil Medvedev vs Brandon Nakashima For The Title! 🏆 | Brisbane 2026 Final Highlights

Титульный Вторник | 13.01.2026 | Дебюты и Гамбиты

Титульный Вторник | 13.01.2026 | Дебюты и Гамбиты

Почему Трамп в последний момент отменил удар по Ирану

Почему Трамп в последний момент отменил удар по Ирану

Мягкая джазовая музыка и босса-нова для хорошего настроения☕ Музыка в кафе Positive Jazz Lounge #8

Мягкая джазовая музыка и босса-нова для хорошего настроения☕ Музыка в кафе Positive Jazz Lounge #8

Алекс Юсупов про протесты в Иране, захват Мадуро, будущее Европы и гренландский вопрос

Алекс Юсупов про протесты в Иране, захват Мадуро, будущее Европы и гренландский вопрос

Если у тебя спросили «Как твои дела?» — НЕ ГОВОРИ! Ты теряешь свою силу | Еврейская мудрость

Если у тебя спросили «Как твои дела?» — НЕ ГОВОРИ! Ты теряешь свою силу | Еврейская мудрость

Сонин про крах экономики, цены на нефть и страхи Путина 🎙 Честное слово с Константином Сониным

Сонин про крах экономики, цены на нефть и страхи Путина 🎙 Честное слово с Константином Сониным

Coordinate Geometry for JEE - I (SL Loney, Straight Lines)

Coordinate Geometry for JEE - I (SL Loney, Straight Lines)

FULL MATCH | Fan Zhendong vs Alberto Mino | 2026 German League

FULL MATCH | Fan Zhendong vs Alberto Mino | 2026 German League

Белковский про болезнь Кадырова, будущее Гренландии и провал геополитики Путина🎙️ Честное слово

Белковский про болезнь Кадырова, будущее Гренландии и провал геополитики Путина🎙️ Честное слово

США сливают протесты в Иране. Зачем Трампу Гренландия? Дьявол по версии СВР. Станислав Белковский*

США сливают протесты в Иране. Зачем Трампу Гренландия? Дьявол по версии СВР. Станислав Белковский*

Felix Lebrun vs Tomokazu Harimoto | MS QF | WTT Champions Doha 2026

Felix Lebrun vs Tomokazu Harimoto | MS QF | WTT Champions Doha 2026

ФИЗИКИ не знают что такое ЭЛЕКТРИЧЕСКИЙ ТОК 💤Лекция для сна 💤 СОН ЗА 5 МИНУТ

ФИЗИКИ не знают что такое ЭЛЕКТРИЧЕСКИЙ ТОК 💤Лекция для сна 💤 СОН ЗА 5 МИНУТ

Татары от Булгарии до Татарстана | Откуда есть пошла

Татары от Булгарии до Татарстана | Откуда есть пошла

Every Point as Amateur Wins Huge $1m Cheque! | 1 Point Slam | Australian Open 2026

Every Point as Amateur Wins Huge $1m Cheque! | 1 Point Slam | Australian Open 2026

© 2025 dtub. Все права защищены.



  • Контакты
  • О нас
  • Политика конфиденциальности



Контакты для правообладателей: infodtube@gmail.com