Популярное

Музыка Кино и Анимация Автомобили Животные Спорт Путешествия Игры Юмор

Интересные видео

2025 Сериалы Трейлеры Новости Как сделать Видеоуроки Diy своими руками

Топ запросов

смотреть а4 schoolboy runaway турецкий сериал смотреть мультфильмы эдисон
dTub
Скачать

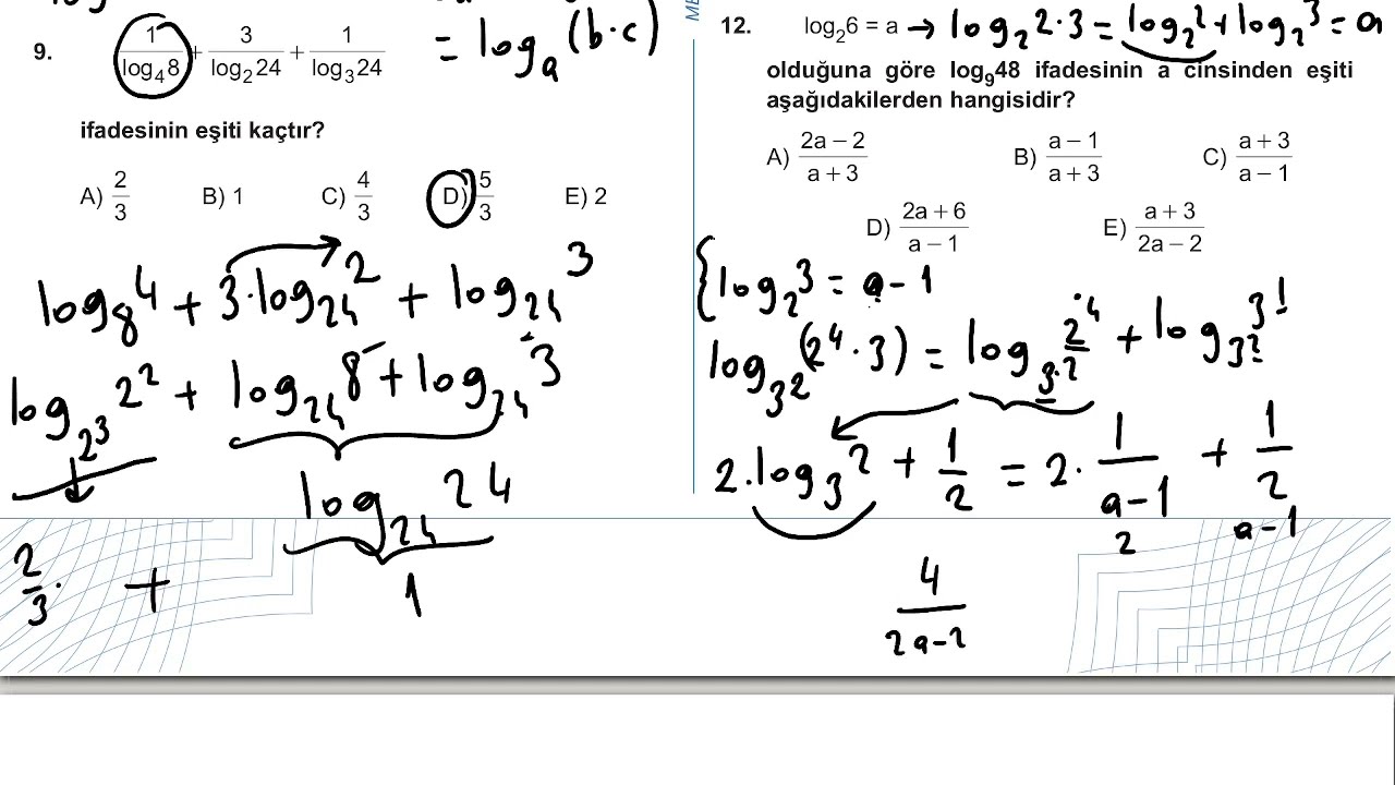
Test 1 (Üstel Fonksiyon) 12. Sınıf İleri Düzey Kazanım Testi.

Автор: ZONGULDAK ÖLÇME DEĞERLENDİRME MERKEZİ

Загружено: 2021-04-26

Просмотров: 1019

Описание:

Test 1 (Üstel Fonksiyon) 12. Sınıf İleri Düzey Kazanım Testi.

Поделиться в:

Доступные форматы для скачивания:

Скачать видео mp4

  • Информация по загрузке:

Скачать аудио mp3

Похожие видео

ÜSTEL FONKSİYON - 1 | 12.Sınıf Matematik | Kazanım Kavrama Testi - 1 | 2024

ÜSTEL FONKSİYON - 1 | 12.Sınıf Matematik | Kazanım Kavrama Testi - 1 | 2024

⚡️ВСЁ! Путин пойдет на СДЕЛКУ. Вот, о чем договорились в Абу-Даби. ПРОГНОЗ конца войны. САВОСТЬЯНОВ

⚡️ВСЁ! Путин пойдет на СДЕЛКУ. Вот, о чем договорились в Абу-Даби. ПРОГНОЗ конца войны. САВОСТЬЯНОВ

Решение системы уравнений методом Крамера.

Решение системы уравнений методом Крамера.

12. Sınıf Matematik Kazanım Kavrama Test 2 (Üstel Fonksiyon) Çözümler

12. Sınıf Matematik Kazanım Kavrama Test 2 (Üstel Fonksiyon) Çözümler

12. Sınıf | 2023 2024 | Üstel Fonksiyon 2 | MEB | Kazanım Kavrama Testi 2 | AYT Matematik

12. Sınıf | 2023 2024 | Üstel Fonksiyon 2 | MEB | Kazanım Kavrama Testi 2 | AYT Matematik

12.Sınıf | Matematik | Meb Kazanım Kavrama Testleri Çözümleri | [2024]

12.Sınıf | Matematik | Meb Kazanım Kavrama Testleri Çözümleri | [2024]

2026 BİLGİ SARMAL AYT MATEMATİK TÜREV TEST 10(ÖSYM TARZI TÜREVİN GEOMETRİK YORUMU SORULARI)

2026 BİLGİ SARMAL AYT MATEMATİK TÜREV TEST 10(ÖSYM TARZI TÜREVİN GEOMETRİK YORUMU SORULARI)

12. Sınıf Matematik Kazanım Kavrama Testlerinin Çözümleri

12. Sınıf Matematik Kazanım Kavrama Testlerinin Çözümleri

Самый короткий тест на интеллект Задача Массачусетского профессора

Самый короткий тест на интеллект Задача Массачусетского профессора

90% ИЗМЕРЯЮТ ДАВЛЕНИЕ НЕПРАВИЛЬНО. 7 САМЫХ ОПАСНЫХ ОШИБОК ПРИ ИЗМЕРЕНИИ ДАВЛЕНИЯ.

90% ИЗМЕРЯЮТ ДАВЛЕНИЕ НЕПРАВИЛЬНО. 7 САМЫХ ОПАСНЫХ ОШИБОК ПРИ ИЗМЕРЕНИИ ДАВЛЕНИЯ.

Эти правила математики ни кто не отменял, они помогут подробнее понять решение примера!

Эти правила математики ни кто не отменял, они помогут подробнее понять решение примера!

⚡️ГЛАВНОЕ НА УТРО! Решающий ПЕРЕЛОМ в переговорах. Зеленский раскрыл судьбу Донбасса / 27.01

⚡️ГЛАВНОЕ НА УТРО! Решающий ПЕРЕЛОМ в переговорах. Зеленский раскрыл судьбу Донбасса / 27.01

Удивительный процесс изготовления пуль для боеприпасов на местном заводе.

Удивительный процесс изготовления пуль для боеприпасов на местном заводе.

Для Чего РЕАЛЬНО Нужен был ГОРБ Boeing 747?

Для Чего РЕАЛЬНО Нужен был ГОРБ Boeing 747?

Интересный тест на эрудицию и кругозор #43 | Сколько Вы знаете? #викторина #эрудиция

Интересный тест на эрудицию и кругозор #43 | Сколько Вы знаете? #викторина #эрудиция

12. Sınıf Matematik Kazanım Kavrama Test 3 (Logaritma Fonksiyonu) Çözümler

12. Sınıf Matematik Kazanım Kavrama Test 3 (Logaritma Fonksiyonu) Çözümler

İhanete uğrayan gelin düğünde eski nişanlıyı bırakıp CEO ile yıldırım nikâhı: Sonsuz şımartılma!

İhanete uğrayan gelin düğünde eski nişanlıyı bırakıp CEO ile yıldırım nikâhı: Sonsuz şımartılma!

12.Sınıf 1.Dönem 1.Yazılı Matematik #öğrenmegarantili

12.Sınıf 1.Dönem 1.Yazılı Matematik #öğrenmegarantili

Uğursuz” denilen yetim kız… meğer herkese şans getiren bir mucizeymiş

Uğursuz” denilen yetim kız… meğer herkese şans getiren bir mucizeymiş

12. Sınıf Matematik MEB Kazanım Kavrama Testi 2 | 2024 2025 | Üstel Fonksiyon 2 | AYT Matematik

12. Sınıf Matematik MEB Kazanım Kavrama Testi 2 | 2024 2025 | Üstel Fonksiyon 2 | AYT Matematik

© 2025 dtub. Все права защищены.



  • Контакты
  • О нас
  • Политика конфиденциальности



Контакты для правообладателей: infodtube@gmail.com