Популярное

Музыка Кино и Анимация Автомобили Животные Спорт Путешествия Игры Юмор

Интересные видео

2025 Сериалы Трейлеры Новости Как сделать Видеоуроки Diy своими руками

Топ запросов

смотреть а4 schoolboy runaway турецкий сериал смотреть мультфильмы эдисон
dTub
Скачать

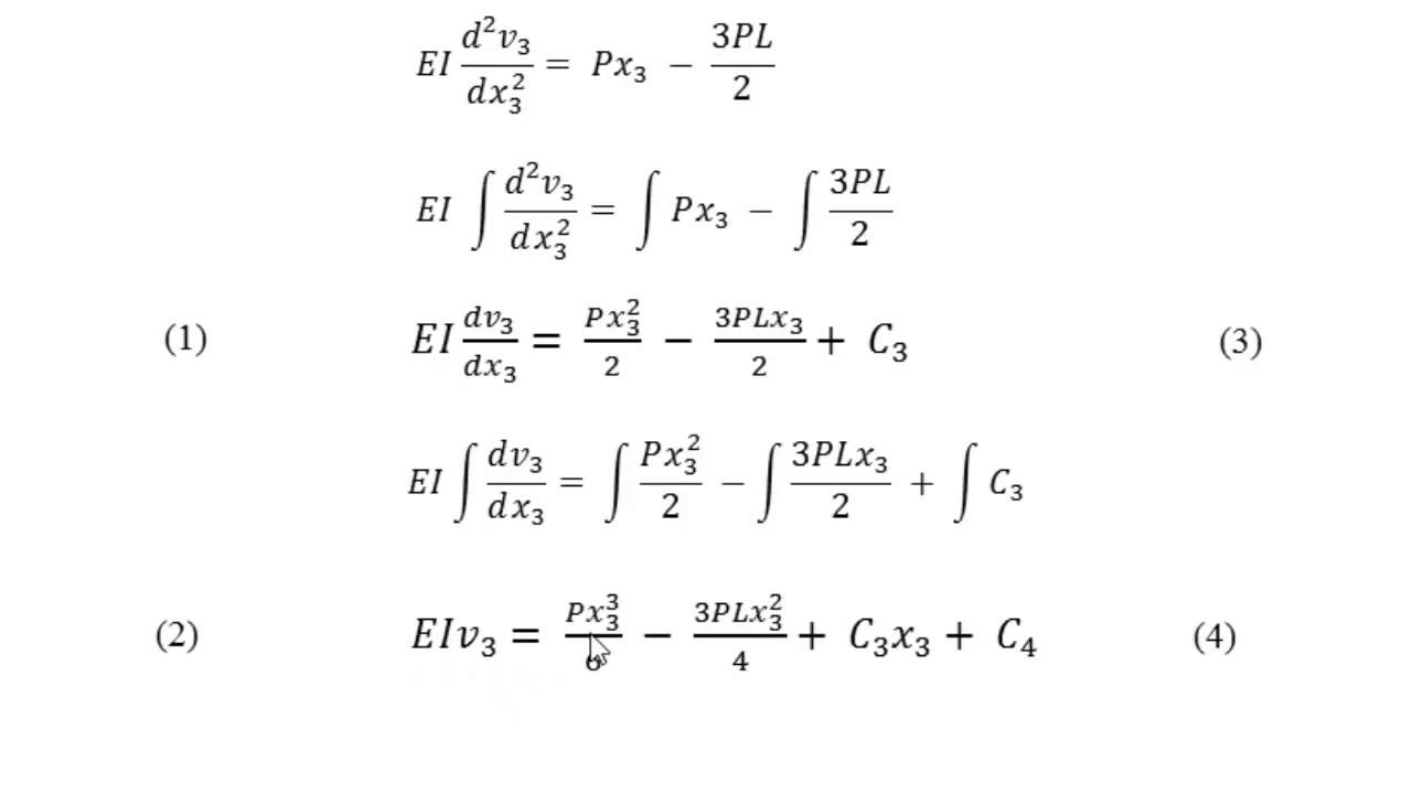
Resistência dos Materiais - Equação da Linha Elástica (Parte 1)

Автор: João Batista

Загружено: 2014-05-04

Просмотров: 113045

Описание:

Sou estudante de Engenharia Mecânica na Universidade de Fortaleza - Unifor. Nesse vídeo apresento o passo a passo para realizar os cálculos para determinar a equação da linha elástica em vigas. Exercício extraído do livro Resistência dos Materiais - Hibbeler 7ed.

Resistência dos Materiais - Equação da Linha Elástica (Parte 1)

Поделиться в:

Доступные форматы для скачивания:

Скачать видео mp4

  • Информация по загрузке:

Скачать аудио mp3

Похожие видео

Carga distribuida

Carga distribuida

Deflexão em viga engastada

Deflexão em viga engastada

Como Determinar a EQUAÇÃO DA LINHA ELÁSTICA da VIGA | Resistência dos Materiais

Como Determinar a EQUAÇÃO DA LINHA ELÁSTICA da VIGA | Resistência dos Materiais

Расчет поперечной силы и изгибающего момента — ПРОСТО!

Расчет поперечной силы и изгибающего момента — ПРОСТО!

Введение в мир Геометрической Волновой Инженерии.  1-я часть.

Введение в мир Геометрической Волновой Инженерии. 1-я часть.

Определение реакций опор в балке. Сопромат.

Определение реакций опор в балке. Сопромат.

Unbelievable Workers | Working with Talented Engineers . EP6 #construction #adamrose #workers #smart

Unbelievable Workers | Working with Talented Engineers . EP6 #construction #adamrose #workers #smart

Почему эллипс это сложно и не существует формулы периметра эллипса

Почему эллипс это сложно и не существует формулы периметра эллипса

Эта Хитрая Задача С Мехмата Завалила Сотни! Решишь?

Эта Хитрая Задача С Мехмата Завалила Сотни! Решишь?

Самая холодная деревня в мире: Оймякон (-71°C)

Самая холодная деревня в мире: Оймякон (-71°C)

Внутри самого мощного в мире бомбардировщика-невидимки

Внутри самого мощного в мире бомбардировщика-невидимки

Топ 40 направляющих для циркулярной пилы | Идеи для деревообработки

Топ 40 направляющих для циркулярной пилы | Идеи для деревообработки

Tom & Jerry | Triple Trouble | Classic Cartoon Compilation | WB Kids

Tom & Jerry | Triple Trouble | Classic Cartoon Compilation | WB Kids

Eq.  da Linha Elástica Ex 02 Prof. Luiz Hegouet

Eq. da Linha Elástica Ex 02 Prof. Luiz Hegouet

Smart Workers | Working with Talented Engineers . EP11 #construction #adamrose #Smartwork  #workers

Smart Workers | Working with Talented Engineers . EP11 #construction #adamrose #Smartwork #workers

А что если найти среднюю длину эллипса?

А что если найти среднюю длину эллипса?

Смешай ЦЕМЕНТ с ЭПОКСИДНОЙ СМОЛОЙ и преврати невозможное в МИЛЛИОННУЮ идею!

Смешай ЦЕМЕНТ с ЭПОКСИДНОЙ СМОЛОЙ и преврати невозможное в МИЛЛИОННУЮ идею!

35 Vezes em Que Viagens de Safári na África Deram Terrivelmente Errado

35 Vezes em Que Viagens de Safári na África Deram Terrivelmente Errado

FLEXÃO RESISTÊNCIA DOS MATERIAIS CARGA DISTRIBUÍDA RETANGULAR E CONCENTRADA (PASSO A PASSO) EX: 3

FLEXÃO RESISTÊNCIA DOS MATERIAIS CARGA DISTRIBUÍDA RETANGULAR E CONCENTRADA (PASSO A PASSO) EX: 3

Всё становится только хуже 😬 | Самые смешные новые неудачи, запечатлённые на видео

Всё становится только хуже 😬 | Самые смешные новые неудачи, запечатлённые на видео

© 2025 dtub. Все права защищены.



  • Контакты
  • О нас
  • Политика конфиденциальности



Контакты для правообладателей: infodtube@gmail.com