Популярное

Музыка Кино и Анимация Автомобили Животные Спорт Путешествия Игры Юмор

Интересные видео

2025 Сериалы Трейлеры Новости Как сделать Видеоуроки Diy своими руками

Топ запросов

смотреть а4 schoolboy runaway турецкий сериал смотреть мультфильмы эдисон
dTub
Скачать

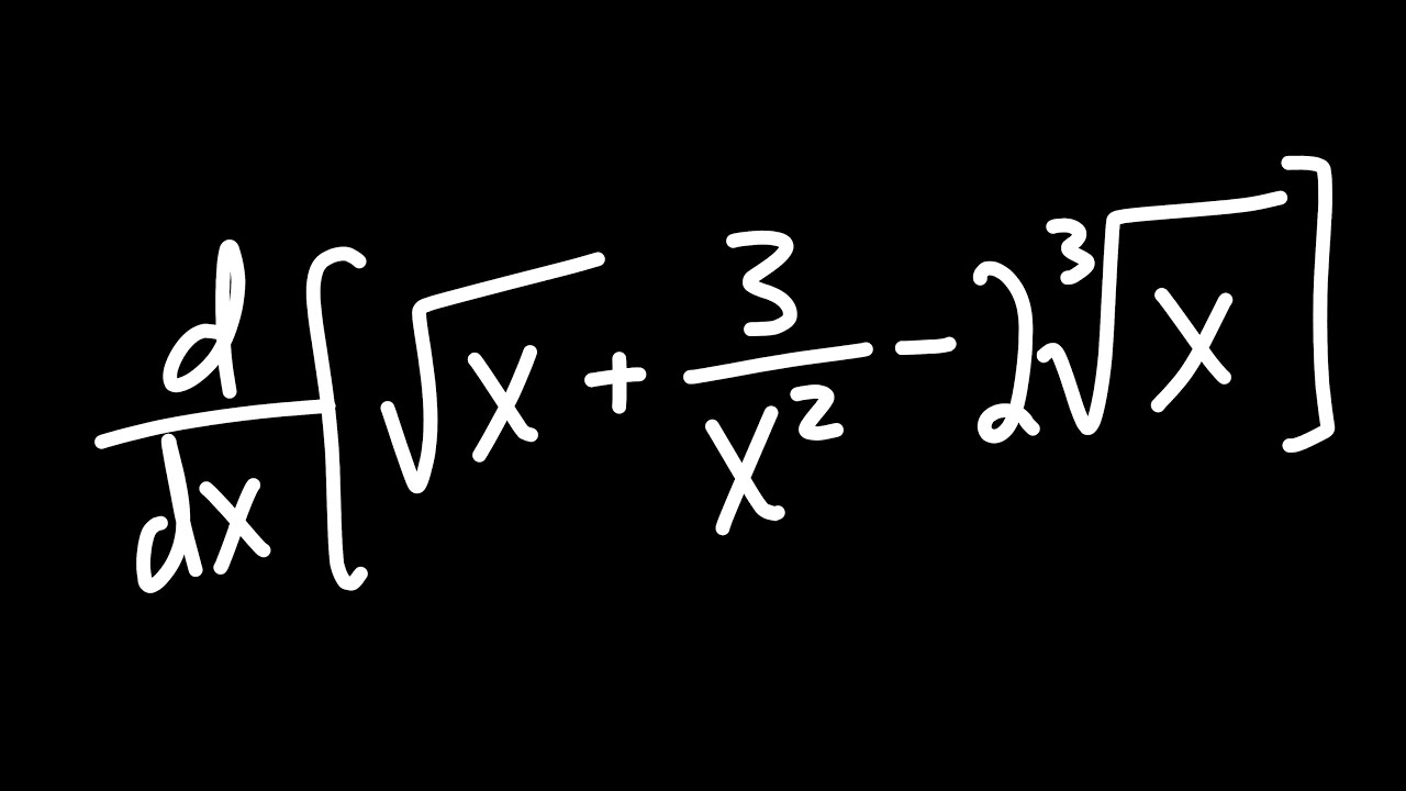
Derivative of sqrt(x)+3/x^2-2*cube root(x)

Автор: CalcPrep

Загружено: 2026-01-16

Просмотров: 9

Описание:

In this problem, we use basic derivative rules (including the power rule) to find the derivative of sqrt(x)+3/x^2-2*cube root(x).
________________________________
LOOKING FOR HELP WITH THE POWER RULE / BASIC DERIVATIVE RULES?
Online Notes + Practice Quizzes: https://calcprep.com/courses/calculus...
FREE Must Know Derivatives + Integrals Formula Sheet: https://calcprep.com/free-resources/d...
________________________________
NEED HELP IN YOUR CALCULUS COURSE?
Get 1-on-1 and Group Tutoring: https://calcprep.com/tutoring

Derivative of sqrt(x)+3/x^2-2*cube root(x)

Поделиться в:

Доступные форматы для скачивания:

Скачать видео mp4

  • Информация по загрузке:

Скачать аудио mp3

Похожие видео

Derivative of sqrt(e^(3x)-3cos(3x))

Derivative of sqrt(e^(3x)-3cos(3x))

Sum of (3n^3+1)/(5n^3-2n^2+1)

Sum of (3n^3+1)/(5n^3-2n^2+1)

Derivative of ln(cos^5(3x^4))

Derivative of ln(cos^5(3x^4))

Sum of cos(n*pi/4)

Sum of cos(n*pi/4)

Prince Naseem Hamed (UK) vs Tom Johnson (USA) | Boxing Fight Highlights

Prince Naseem Hamed (UK) vs Tom Johnson (USA) | Boxing Fight Highlights

DOMINACJA CZERWONYCH DIABŁÓW! PIĘĆ GOLI, TRZY NIEUZNANE! MAN UNITED - MAN CITY, SKRÓT MECZU

DOMINACJA CZERWONYCH DIABŁÓW! PIĘĆ GOLI, TRZY NIEUZNANE! MAN UNITED - MAN CITY, SKRÓT MECZU

Derivative of sin^5(2x)

Derivative of sin^5(2x)

ZIEMKIEWICZ bez litości o Tusku i Żurku: To jest totalna groteska! | Podsumowanie Tygodnia

ZIEMKIEWICZ bez litości o Tusku i Żurku: To jest totalna groteska! | Podsumowanie Tygodnia

Cała prawda o Danii! Miśko: To co robili na Grenlandii było straszne!

Cała prawda o Danii! Miśko: To co robili na Grenlandii było straszne!

Zbrojenia Bez Hamulców: Pół Miliona Żołnierzy, Rekord Wydatków i „Bilet do Wojska” dla tysięcy

Zbrojenia Bez Hamulców: Pół Miliona Żołnierzy, Rekord Wydatków i „Bilet do Wojska” dla tysięcy

Derivative of sqrt(5x-1)

Derivative of sqrt(5x-1)

Lin Shidong vs Dimitrij Ovtcharov | MS R16 | WTT Star Contender Doha 2026

Lin Shidong vs Dimitrij Ovtcharov | MS R16 | WTT Star Contender Doha 2026

Find the acceleration at t=1 given s(t)=3t^3-4t^2-t+21

Find the acceleration at t=1 given s(t)=3t^3-4t^2-t+21

Felix Lebrun vs Tomokazu Harimoto | MS QF | WTT Champions Doha 2026

Felix Lebrun vs Tomokazu Harimoto | MS QF | WTT Champions Doha 2026

When Naoya Inoue Landed KO Of The Year.. BRUTAL Knockout!

When Naoya Inoue Landed KO Of The Year.. BRUTAL Knockout!

FULL MATCH | Fan Zhendong vs Alberto Mino | 2026 German League

FULL MATCH | Fan Zhendong vs Alberto Mino | 2026 German League

© 2025 dtub. Все права защищены.



  • Контакты
  • О нас
  • Политика конфиденциальности



Контакты для правообладателей: infodtube@gmail.com