Популярное

Музыка Кино и Анимация Автомобили Животные Спорт Путешествия Игры Юмор

Интересные видео

2025 Сериалы Трейлеры Новости Как сделать Видеоуроки Diy своими руками

Топ запросов

смотреть а4 schoolboy runaway турецкий сериал смотреть мультфильмы эдисон
dTub
Скачать

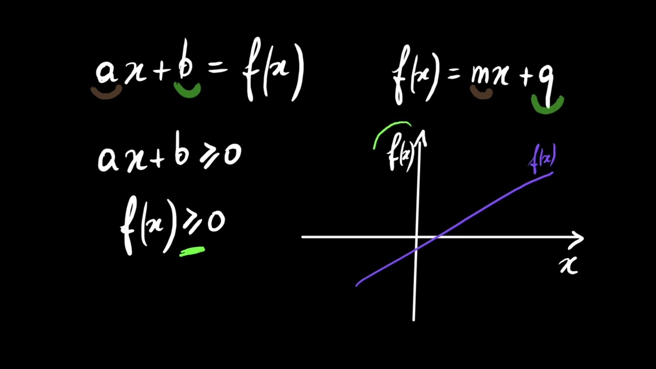
Retta e disequazioni. Risoluzione grafica di disequazioni e di sistemi misti.

Автор: CHRISTIAN SFILIGOI

Загружено: 2022-05-30

Просмотров: 2531

Описание:

I MIEI STRUMENTI:
Libro, Matematica multimediale.blu vol.2: https://amzn.to/3Nl8dO7
Tavoletta grafica Wacom One: https://amzn.to/401DzfH
-------------------------------------------------------------------------------------------------------------------------------------------------------------
In questo video parliamo di risoluzione grafica di equazioni lineari (ricerca degli zeri di una funzione lineare), di disequazioni lineari e vediamo come rappresentare graficamente parti di piano o di rette che rappresentano la soluzione di disequazioni o di sistemi misti di equazioni e disequazioni lineari.
-------------------------------------------------------------------------------------------------------------------------------------------------------------
00:00 Intro
00:07 L'interpretazione grafica di una disequazione
00:22 Primo esempio
03:17 Secondo esempio
05:12 Risoluzione grafica di un'equazione
06:16 Come descrivere parti di piano o di retta
06:42 Esempio
08:05 Rappresentazione di un sistema misto
09:12 Dal grafico al sistema misto
----------------------------------------------------------------------------------------------------------------
Playlist matematica secondo anno:
   • Matematica - Secondo anno  

Iscriviti al canale e attiva le notifiche per essere aggiornato sull'uscita dei nuovi video.
   / @christiansfiligoi  

Retta e disequazioni. Risoluzione grafica di disequazioni e di sistemi misti.

Поделиться в:

Доступные форматы для скачивания:

Скачать видео mp4

  • Информация по загрузке:

Скачать аудио mp3

Похожие видео

Retta e Funzioni lineari a tratti

Retta e Funzioni lineari a tratti

Disequazioni NON Lineari in Due Variabili

Disequazioni NON Lineari in Due Variabili

Mathe Abi: Textaufgabe Beschränktes Wachstum e-Funktion, Vorbereitung Mathe Abitur

Mathe Abi: Textaufgabe Beschränktes Wachstum e-Funktion, Vorbereitung Mathe Abitur

Disequazioni di Secondo Grado - Spiegazione con Esempi ;)

Disequazioni di Secondo Grado - Spiegazione con Esempi ;)

Interpretazione grafica di una disequazione

Interpretazione grafica di una disequazione

Semipiani, segmenti, semirette, angoli e poligoni nel piano cartesiano

Semipiani, segmenti, semirette, angoli e poligoni nel piano cartesiano

Sistemi di Disequazioni in Due Incognite

Sistemi di Disequazioni in Due Incognite

Disequazioni lineari -  risoluzione grafica

Disequazioni lineari - risoluzione grafica

RETTA: metodi semplici e veloci per TUTTE LE FORMULE!

RETTA: metodi semplici e veloci per TUTTE LE FORMULE!

Funzioni e disequazioni - parte 1

Funzioni e disequazioni - parte 1

SISTEMI LINEARI - METODO GRAFICO (interpretazione geometrica)     _ SL50

SISTEMI LINEARI - METODO GRAFICO (interpretazione geometrica) _ SL50

Schema dei Segni o del Sistema? Spiego Facilmente Come Capire Dove Usarli

Schema dei Segni o del Sistema? Spiego Facilmente Come Capire Dove Usarli

Disequazioni Intere e Fratte | Metodo Veloce (con Esempi)

Disequazioni Intere e Fratte | Metodo Veloce (con Esempi)

Sistemi di equazioni: metodo grafico - prof.ssa Naressi Angelica

Sistemi di equazioni: metodo grafico - prof.ssa Naressi Angelica

EQUAZIONE di una RETTA in FORMA IMPLICITA e in FORMA ESPLICITA _ PC61

EQUAZIONE di una RETTA in FORMA IMPLICITA e in FORMA ESPLICITA _ PC61

Disequazioni di primo grado metodo grafico

Disequazioni di primo grado metodo grafico

Disequazioni Lineari in Due Incognite

Disequazioni Lineari in Due Incognite

La Tabella delle Linee per i Sistemi di Disequazioni Lineari

La Tabella delle Linee per i Sistemi di Disequazioni Lineari

$1 vs $1,000,000,000 Футуристических Технологий!

$1 vs $1,000,000,000 Футуристических Технологий!

Задача из вступительных Стэнфорда

Задача из вступительных Стэнфорда

© 2025 dtub. Все права защищены.



  • Контакты
  • О нас
  • Политика конфиденциальности



Контакты для правообладателей: infodtube@gmail.com